FemtoLux
Industrial Femtosecond Lasers
FemtoLux is designed from the get-go for maximum reliability, seamless integration and non-stop 24/7/365 zero maintenance operation with innovative ”dry” cooling. Wide range of options enable to tailor this ultrafast laser for desired material processing tasks.
Features
- At 1030 nm
50 W typical max output power
> 300 µJ typical max output energy - At 515 nm
20 W typical max output power
> 50 µJ typical max output energy - At 343 nm
10 W typical max output power
> 25 µJ typical max output energy - Up to 1 mJ for FemtoLux HE
- Up to 2 mJ in a burst mode
- < 400 fs – 1 ps
- Pulse duration extension up to 1 ns
- Single shot – up to 4 MHz (AOM controlled)
- MHz, GHz, MHz+GHz burst modes
- Pulse-on-demand (PoD), with jitter as low as 20 ns (peak-to-peak)
- < 0.5% RMS power long term stability over 100 hours
- M² < 1.2
- Beam ellipticity > 0.85
- Zero maintenance
- Dry cooling (no water used)
- PSU and cooling unit integrated into single 4U rack housing
- Easy and quick installation
- Compatible with galvo and Polygon scanners as well as PSO controllers
A reliable & versatile tool for micromachining
Designed from the get-go for maximum reliability, seamless integration and non-stop 24/7/365 zero maintenance operation with innovative ”dry” cooling.
The FemtoLux femtosecond laser has a tunable pulse duration from <400 fs to 1 ps and can operate in a broad AOM controlled range of pulse repetition rates from a single shot to 4 MHz.
The maximum pulse energy is 1 mJ operating with single pulses and can reach even up to 2 mJ in burst mode, ensuring higher ablation rates and processing throughput for different materials.
The FemtoLux beam parameters will meet the requirements of the most demanding materials and micro-machining applications.
Innovative laser control electronics ensure simple control of the FemtoLux laser by external controllers that could run on different platforms, be it Windows, Linux or others using REST API commands.
This makes easy integration and reduces the time and human resources required to integrate this laser into any laser micromachining equipment.
Seamless user experience
- Easy integration – remote control using REST API via RS232 and LAN.
- Reduced integration time – demo electronics is available for laser control programming in advance.
- Easy and quick installation – no water, fully disconnectable laser head. Can be installed by the end-user.
- Easy troubleshooting – integrated detectors and constant system status logging.
- No periodic maintenance required.
Direct Refrigerant Cooling (DRC)
“Dry“ Cooling
Direct refrigerant cooling is industry-proven thermal-management approach with a long history in everyday technologies such as domestic refrigeration and automotive climate control. Unlike conventional liquid cooling, it operates without pumped water circuits, relying instead on direct refrigerant-based heat transfer.
Benefits
- Military-grade reliability 90 000 hours MTBF
- No maintenance
- 50 % lower power consumption compared to water cooling equipment
- Easy and simple installation
- Increased stability due to precise temperature control across a wide range of operating conditions
- “Greenest” cooling technology
How DRC Works
At its core, DRC eliminates the inherent reliability limitations of water-based cooling loops. Rather than circulating liquid coolant through pumps, hoses, and reservoirs, refrigerant is delivered directly to a cold plate that is in contact to the laser head.
The FemtoLux cooling architecture comprises four key elements: a compressor, condenser, expansion valve, and evaporator. High-pressure refrigerant is circulating through the expansion valve, which is mounted directly on the cooling plate. As the refrigerant expands, it enters the plate as a low-temperature, low-pressure liquid. While flowing through the plate, it absorbs heat from the laser head and undergoes a controlled phase change into vapor. This vapor is then compressed and routed through the condenser, where heat is released to the surrounding environment and the refrigerant returns to liquid form.
The closed refrigerant circuit provides exceptional integration flexibility. The compressor and condenser are housed within the power supply unit, while the cooling plate and expansion valve are connected via three‑meter armored flexible lines. This arrangement allows the laser head to be installed inside material processing workstations or mounted on moving stages. A variable-speed compressor continuously adjusts cooling output to match real-time thermal demand, preventing temperature fluctuations that can affect laser performance.
Straightforward Installation and Maintenance-Free Operation
For ease of integration, the cooling plate can be detached from the laser head during system assembly. Flexible refrigerant lines allow the laser head to be positioned independently of the compressor unit, simplifying mechanical integration.
Because the refrigerant loop is hermetically sealed at the factory, routine maintenance associated with water-based systems – such as refilling, filter changes, or system flushing – is eliminated entirely.
For system integrators, dry cooling represents a substantial step forward. By removing the constraints of water and air cooling, DRC simplifies system design while enabling compact layouts. The streamlined cold-plate interface reduces installation complexity, and the compact power supply unit supports straightforward system integration.
The absence of pumps and reservoirs keeps system dimensions small. The compressor is up to 10 times smaller and lighter than conventional designs. The FemtoLux laser head with integrated cooling plate weighs 32 kg, while the power supply unit – including compressor and condenser – adds only 15 kg.
Precision Temperature Control and Energy Efficiency
Direct refrigerant cooling delivers approximately 50% higher energy efficiency than water-cooled solutions, while maintaining highly uniform cold-plate temperatures through phase-change heat transfer. Comparative testing has shown that DRC systems consume roughly half the electrical power of traditional liquid chillers under identical operating conditions.
Thermal regulation is both precise and responsive. The variable-speed compressor adapts continuously to changing heat loads, maintaining laser operating temperature within ±0.1 °C across the full performance range.
FemtoLux lasers use a low–global-warming-potential (GWP) refrigerant approved for laboratory operation and transport. Compared to alternative cooling methods, DRC consumes about half the power of chiller-based systems and up to eight times less than thermoelectric cooling solutions. Unlike air cooling, DRC can operate below ambient temperature or hold a tightly defined thermal setpoint.
Proven Reliability from Military to Industry
This cooling approach has been deployed by Aspen Systems for more than 15 years in demanding defense applications where size, weight, efficiency, and reliability are critical. These include military communications systems, high-power directed-energy platforms on armored vehicles, transport enclosures, ships, and helicopters.
The technology demonstrates a mean time between failures (MTBF) exceeding 90,000 hours, enabling continuous operation for more than a decade. In long-term testing, FemtoLux lasers have demonstrated stable operation beyond 25,000 hours. Compressor service life typically surpasses that of water-chiller pumps by a factor of three to five, further enhancing system reliability.
Dry cooling technology developed by EKSPLA engineers is featured as the cover story in the November, 2025 issue of Photonics Spectra, the industry’s leading magazine with the largest worldwide circulation in lasers, optics, and photonics.
Learn more about dry cooling in our user cases sectionSpecifications
| Model | FemtoLux 30 | FemtoLux 50 | FemtoLux HE |
|---|---|---|---|
| Main Specifications 1) | |||
| Central wavelength | 1030 nm | 1030 nm | 1030 nm |
| Laser pulse repetition rate (PRR) 2) | 200 kHz – 2 MHz, 4 MHz optional | 100 kHz – 2 MHz, 4 MHz optional | 10 kHz – 1 MHz |
| Pulse picker PRR | Laser PRR / N, N=1, 2, 3, … , 65000; single shot | Laser PRR / N, N=1, 2, 3, … , 65000; single shot | Laser PRR / N, N=1, 2, 3, … , 65000; single shot |
| Maximal average output power 3) | ≥ 30 W | ≥ 45 W (typical 50 W) | ≥ 30 W |
| Pulse energy 4) | ≥ 100 µJ, 300 µJ optional | ≥ 250 µJ (typical 300 µJ) | 1 mJ |
| Power long term stability (Std. dev.) 5) | < 0.5 % | < 0.5 % | < 0.5 % |
| Pulse energy stability (Std. dev.) 6) | < 1 % | < 1 % | < 1 % |
| Pulse duration (FWHM) @ 1 MHz 7) | < 400 fs – 1 ps | < 400 fs – 1 ps | < 400 fs – 1 ps |
| Number of pulses in MHz burst 8) | 2 – 10 | 2 – 10 | 2 – 10 |
| Total energy in burst mode 9) | > 450 µJ | > 750 µJ | 2 mJ |
| Beam quality | M2 < 1.2 (typical < 1.1) | M2 < 1.2 (typical < 1.1) | M2 < 1.3 |
| Beam ellipticity, far field | 0.85 (typical ≥ 0.9) | 0.85 (typical ≥ 0.9) | 0.85 (typical ≥ 0.9) |
| Beam divergence (full angle) | < 1 mrad | < 1 mrad | < 1 mrad |
| Beam pointing thermal stability | < 20 µrad/°C | < 20 µrad/°C | < 20 µrad/°C |
| Beam diameter (1/e2) | 2.5 ± 0.4 mm @ 65 cm | 2.5 ± 0.4 mm @ 65 cm | 2.5 ± 0.4 mm @ 65 cm |
| Polarization | vertical | vertical | vertical |
| Synchronization mode | internal / external | internal / external | internal / external |
| Pulse output control | frequency divider, pulse picker, burst mode, packet triggering, power attenuation, pulse-on-demand | frequency divider, pulse picker, burst mode, packet triggering, power attenuation, pulse-on-demand | frequency divider, pulse picker, burst mode, packet triggering, power attenuation, pulse-on-demand |
| Control interfaces | RS232 / LAN | RS232 / LAN | RS232 / LAN |
| Length of the umbilical cord | 3 m, detachable | 3 m, detachable | 3 m, detachable |
| Laser head cooling type | dry (direct refrigerant cooling through detachable cooling plate), water cooling optional | dry (direct refrigerant cooling through detachable cooling plate), water cooling optional | dry (direct refrigerant cooling through detachable cooling plate), water cooling optional |
| Physical characteristics | |||
| Laser head (W × L × H) | 434 × 569 × 150 mm | 434 × 569 × 150 mm | 434 × 569 × 150 mm |
| Power supply unit (W × L × H) | 483 × 534 × 184 mm | 483 × 534 × 184 mm | 483 × 534 × 184 mm |
| Operating Requirements | |||
| Mains requirements | 100 – 240 V AC, single phase, 50/60 Hz | 100 – 240 V AC, single phase, 50/60 Hz | 100 – 240 V AC, single phase, 50/60 Hz |
| Maximal power rating | 1000 W | 1000 W | 1000 W |
| Operating ambient temperature | 18 – 27 °C | 18 – 27 °C | 18 – 27 °C |
| Relative humidity | 10 – 80 % (non-condensing) | 10 – 80 % (non-condensing) | 10 – 80 % (non-condensing) |
| Air contamination level | ISO 9 (room air) or better | ISO 9 (room air) or better | ISO 9 (room air) or better |
| Model | FemtoLux 30 | FemtoLux 50 | FemtoLux HE |
|---|
- Due to continuous improvement, all specifications are subject to change without notice. Parameters marked typical are not specifications. They are indications of typical performance and will vary with each unit we manufacture. All parameters are specified for a shortest pulse duration. Unless stated otherwise, all specifications are measured at 1030 nm and for basic system without options.
- When frequency divider is set to transmit every pulse. Fully controllable by integrated AOM.
- At 1 MHz. Please see graphs for power vs laser pulse repetition rate of FemtoLux series lasers.
- For FemtoLux 30 maximal pulse energy 300 µJ at 50 kHz. Standard energy 100 µJ at 200 kHz.
- Over 100 h after warm-up under constant environmental conditions.
- Under constant environmental conditions.
- Please see graph for typical pulse duration for different repetition rates.
- Oscillator frequency ~50 MHz, ~20 ns separation between pulses.
- For MHz burst mode or MHz+GHz burst mode at 50 kHz PRR. For Femtolux HE at 10 kHz.
Harmonics modules
| Central wavelength | 515 nm | 343 nm |
|---|---|---|
| Main specifications 1) 2) | ||
| Pulse energy 3) | 50 µJ | 30 µJ |
| Average power | up to 25 W | up to 10 W |
| Beam quality | M2 < 1.2 | M2 < 1.3 |
| Beam ellipticity, far field | > 0.85 | > 0.85 |
| Beam divergence (full angle) | < 0.7 mrad | < 0.5 mrad |
| Beam diameter (1/e2) | 2.2 ± 0.4 mm @ 30 cm | 2.4 ± 0.4 mm @ 30 cm |
| Physical characteristics | ||
| Laser head with harmonic module (W × L × H) | 434 × 747 × 158 mm | 434 × 747 × 158 mm |
| Central wavelength | 515 nm | 343 nm |
|---|
- Due to continuous improvement, all specifications are subject to change without notice. Parameters marked typical are not specifications. They are indications of typical performance and will vary with each unit we manufacture. All parameters are specified for a shortest pulse duration.
- Harmonics are optimized at shortest pulse duration and 100 µJ pulse energy. For optimization at different pulse duration or energy, please inquire sales@ekspla.com.
- Please see graphs for power vs laser pulse repetition rate graphs of FemtoLux series lasers.
GHz burst option
| Main specifications 1) | ||
| Laser Pulse Repetition Rate (PRR) | up to 500 kHz | |
| Intra-burst pulse repetition rate 2) | 2 ± 0.25 GHz | |
| GHz burst mode | short | long |
| GHz burst length | 0.5 – 10 ns | 20 – 500 ns |
| Number of pulses 3) | 2 – 20 | 40 – 1000 |
| Shape | square, rising, falling | falling, pre-shaped 3) |
| MHz + GHz Burst Mode | ||
| Number of pulses in MHz burst | 2 – 10 | |
| Number of pulses in GHz burst 4) | 2 – 20 | |
- Due to continuous improvement, all specifications are subject to change without notice. Parameters marked typical are not specifications. They are indications of typical performance and will vary with each unit we manufacture. All parameters are specified for a shortest pulse duration.
- Custom intra-pulse PRR is available upon a request.
- Depends on the intra-pulse PRR.
- For more information, please inquire sales@ekspla.com.
Benefits
- Jitter lower than 20 ns ensures consistent and equidistant pulse spacing for high-speed micromachining
- Adjustable repetition rate for processing complex geometries
- Faster processing speeds, increased productivity
PoD feature enables the laser to fire a pulse only when required, rather than at a constant rate, enabling precise control over the laser’s output and resulting in higher efficiency, accuracy and quality.
This capability is especially valuable in various micromachining applications where a high processing speed, constant energy, and accuracy are essential. To follow complex curvature at high speed and to maintain equidistant spacing it is necessary to ensure that the repetition rate of the pulses is adjusted. To achieve these requirements, it is necessary to ensure that the repetition rate of the pulses is adjusted to follow complex curvature at high speed and to maintain equidistant spacing. One may try to use position based laser triggering but, due to laser system limitations, the jitter will be from several μs to tens of μs, which will result in random spacing of the pulses.
On the other hand, the usage of time based laser triggering results in overheat areas, due to excessive overlap of pulses. The FemtoLux laser has the pulse-on-demand feature with jitter as low as 20 ns (peak-to-peak), and it can therefore tackle all the challenges and maximize process efficiency, precision and quality at high speed.
Traditional laser triggering techniques struggle to maintain equally spaced pulses at high speeds (Fig.1, 2). Pulse-on-demand feature tackles this challenge and enables high-speed micromachining (Fig. 3).
Fig. 1. Time based laser triggering.
Complex shape scanned with time based laser triggering mode with a pulse repetition of 200 kHz and scanning speed of 6 m/s. The scanning started from the top right to the bottom right area. Overlapping pulses result in an overheated area.
Fig. 2. Position based laser triggering.
Complex shape scanned with position based laser triggering mode with a pitch of 30 μm and scanning speed of 6 m/s. The scanning started from the top right to the bottom right area. Jitter of tens of μs results in random pulse spacing.
Fig. 3. Pulse-on-demand (PoD).
Complex shape scanned with pulse-on-demand (PoD) and position based laser triggering mode with a pitch of 30 μm and scanning speed of 6 m/s. The scanning started from the top right to the bottom right area. PoD feature preserves equidistant pulse spacing at high speeds.
Benefits
- Any desired intra-burst PRR can be achieved independently from the initial PRR of the master oscillator
- Identical pulse separation inside the GHz bursts is maintained
- Short- and long-burst formation modes can be provided.
– A short burst is up to about 10 ns burst width (from 2 to tens of pulses in the GHz burst).
– A long burst is from ~20 ns up to a few hundred ns in burst width (from tens to thousands of pulses in the GHz burst) - MHz+GHz burst mode
- An adjustable amplitude envelope of the GHz bursts is provided
- No pre/post pulses in GHz burst. Pure GHz bursts
- Ultrashort pulse duration is maintained inside the bursts
Patent-Pending Method
The Femtolux laser can operate in the single-pulse mode, MHz burst mode, GHz burst mode, and MHz + GHz burst mode.
The burst formation technique based on the use of the AFL is a very versatile method as it allows to overcome many limitations encountered by other fiber- and/or solid-state-based techniques.
A new versatile patent-pending method to form ultra-high repetition rate bursts of ultrashort laser pulses. The developed method is based on the use of an all-in-fiber active fiber loop (AFL). A detailed description of the invention can be found on:
- Tadas Bartulevičius, Mykolas Lipnickas, Virginija Petrauskienė, Karolis Madeikis, and Andrejus Michailovas, (2022), “30 W-average-power femtosecond NIR laser operating in a flexible GHz‑burst-regime,” Opt. Express 30, 36849-36862. DOI: 10.1364/OE.472907.
- Andrejus Michailovas, and Tadas Bartulevičius. 2021 Int. patent application published under the Patent Cooperation Treaty (PCT) WO2021059003A1.
Short GHz burst
Short GHz burst.
Measured 2.2 GHz intra-burst PRR burst of pulses containing a different number of pulses of equal amplitudes at 31.5 W average output power.
Short GHz burst.
Measured 2.2 GHz intra-burst PRR burst of pulses containing a different number of pulses of equal amplitudes at 31.5 W average output power.
Long GHz burst
Long GHz burst.
Measured 2.2 GHz pre-shaped bursts of 1100 pulses at 233 kHz burst repetition rate for the desired rectangular-like burst shape.
Long GHz burst.
Measured 2.2 GHz non-pre-shaped bursts of 1100 pulses at 233 kHz burst repetition rate.
Long GHz burst.
Measured 2.2 GHz pre-shaped bursts of 500 pulses at 233 kHz burst repetition rate for the desired rising burst shape.
Long GHz burst.
Measured 2.2 GHz pre-shaped bursts of 500 pulses at 233 kHz burst repetition rate for the desired triangle burst shape.
MHz + GHz burst mode
MHz + GHz burst mode.
Measured 5 bursts of 50 MHz burst repetition rate containing 5 pulses of 2.5 GHz intra-burst PRR.
MHz + GHz burst mode.
Measured rectangular shape 5 bursts of 50 MHz burst repetition rate containing 5 pulses of 2.5 GHz intra-burst PRR.
MHz + GHz burst mode.
Measured 10 bursts of 50 MHz burst repetition rate containing 10 pulses of 2.5 GHz intra-burst PRR.
MHz + GHz burst mode.
Measured rectangular shape 10 bursts of 50 MHz burst repetition rate containing 10 pulses of 2.5 GHz intra-burst PRR.
Specifications
| Main specifications 1) | ||
| Laser Pulse Repetition Rate (PRR) | up to 500 kHz | |
| Intra-burst pulse repetition rate 2) | 2 ± 0.25 GHz | |
| GHz burst mode | short | long |
| GHz burst length | 0.5 – 10 ns | 20 – 500 ns |
| Number of pulses 3) | 2 – 20 | 40 – 1000 |
| Shape | square, rising, falling | falling, pre-shaped 3) |
| MHz + GHz Burst Mode | ||
| Number of pulses in MHz burst | 2 – 10 | |
| Number of pulses in GHz burst 4) | 2 – 20 | |
- Due to continuous improvement, all specifications are subject to change without notice. Parameters marked typical are not specifications. They are indications of typical performance and will vary with each unit we manufacture. All parameters are specified for a shortest pulse duration.
- Custom intra-pulse PRR is available upon a request.
- Depends on the intra-pulse PRR.
- For more information, please inquire sales@ekspla.com.
FemtoLux 50 performance
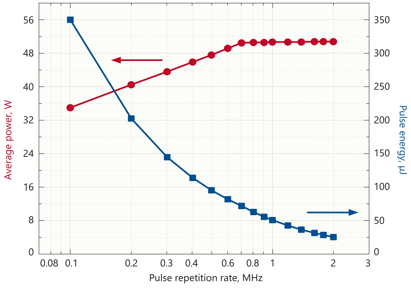
Typical dependence of output power and pulse energy of FemtoLux 50 laser at 1030 nm on pulse repetition rate.
Typical dependence of output power and pulse energy of FemtoLux 50 laser at 515 nm on pulse repetition rate.
Typical dependence of output power and pulse energy of FemtoLux 50 laser at 343 nm on pulse repetition rate.
Typical FemtoLux 50 laser output pulse autocorrelation function at 1030 nm @ 1 MHz.
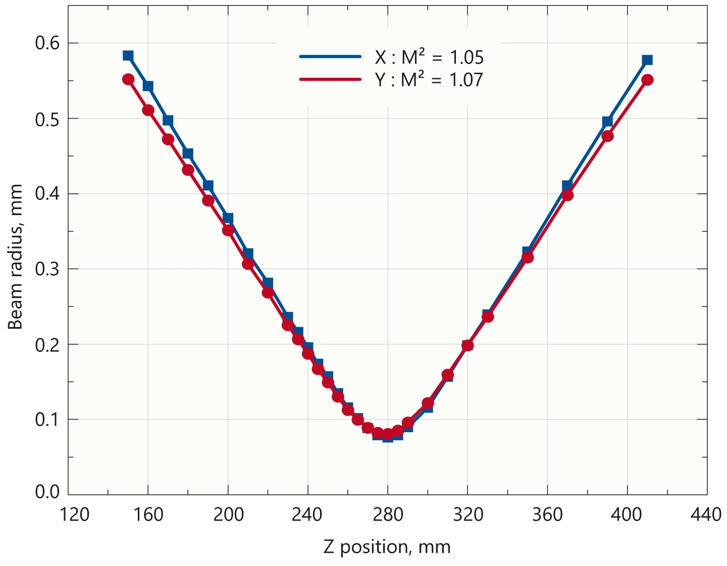
Typical M² measurement of FemtoLux 50 laser at 1030 nm.
Typical long term average power stability of FemtoLux 50 laser at 1030 nm under constant environmental conditions.
FemtoLux HE performance
FemtoLux 30 performance
Typical dependence of output power and pulse energy of FemtoLux 30 laser at 1030 nm on pulse repetition rate.
Typical dependence of output power and pulse energy of FemtoLux 30 laser at 515 nm on pulse repetition rate.
Typical dependence of output power and pulse energy of FemtoLux 30 laser at 343 nm on pulse repetition rate.
Typical FemtoLux 30 laser output pulse autocorrelation function at 1030 nm.
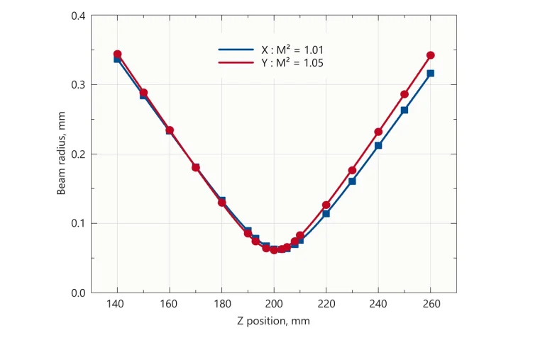
Typical M² measurement of FemtoLux 30 laser at 1030 nm.
FemtoLux 30 stability
Typical pulse-to-pulse energy stability of FemtoLux 30 laser at 200 kHz.
Over 30 000 pulses. RMS was calculated by using a set of mean values of 10 consecutive laser shots.
Long-term average power stability of the FemtoLux 30 laser at 1030 nm.
Under constant environmental conditions over an extended duration of 25,000 hours.
Typical long term average power stability of FemtoLux 30 laser at 1030 nm.
Under constant environmental conditions.
Typical beam direction stability of FemtoLux 30.
Under harsh environmental conditions.
Average output power dependance of FemtoLux 30 laser on ambient temperature at 1030 nm.
Drawings
Laser control application
Ekspla Control Application is a software tool intended for day-to-day routine operation control. It is used to control the laser in API level through LAN or RS-232 communication types, the control capabilities are stored in the laser system itself, software is self-adaptive to the system, one application can be used with multiple systems and can run on different platforms – be it Windows, Linux or others using REST API commands.
Applications
Publications
The increasing demand for miniaturized and high-performance consumer electronics has driven advancements in packaging solutions, including the transition to glass interposers. One of the critical aspects of the development is the fabrication of high-density through-glass vias (TGVs). This article presents the formation of TGVs in various glass substrates using an industrial femtosecond laser FemtoLux 30 operating in different operation modes – single-pulse, MHz burst, GHz burst and MHz+GHz burst modes. By employing burst mode and advanced machining methods such as bottom-up milling – TGVs fabrication is possible. With specific parameter sets TGVs with aspect ratios exceeding 1:80 was achieved, with drilling times as low as 350 ms. Additionally, to address current challenges in making electric traces on substrates, it introduces Selective Surface Activation Induced by Laser (SSAIL) as a unique complementary metallization technology, enabling direct copper deposition on different materials like ceramic, plastics and most importantly – glass, for complete packaging workflows. The findings demonstrate the potential of the FemtoLux femtosecond laser as a high-throughput and precise solution not only for TGV fabrication, but also for Selective Surface Activation Induced by Laser (SSAIL) based metallization – supporting next-generation semiconductor advanced packaging solutions.
As lasers expand further into industrial, research, medical, and military applications, end users are placing increased scrutiny on system cooling requirements. All lasers require a form of thermal management. The appropriate method depends on both the laser design and its operating environment: If the heat load fluctuates, for example, a user must account for both the laser’s range and rate of change.
Regardless of scale and power, overheating can lead to efficiency losses, wavelength drift, and shortened operating lifetime. Low-power lasers operating in stable environments with broad temperature tolerances can often rely on simple air cooling. On the other hand, higher-power systems, or those with tight tolerances, require more advanced methods. Today, system wall-plug efficiencies range from 0.1% to nearly 80%, and power levels can span from milliwatts in measurement and marking applications to multiple kilowatts in heavy manufacturing. Cooling design is therefore not a peripheral consideration. Instead, it is a critical factor that is central to ensuring reliability and performance across all systems and applications.
Intra-volume glass scribing for cutting is one of the most advanced applications of nondiffractive laser beams. However, ever-growing requirements from the industry for complexity, miniaturization, and quality of fabricated parts have pushed the technology forward. Most of the methods developed to improve glass scribing rely on spatial and temporal pulsed beam shaping. As another degree of freedom to manipulate light, polarization has received little attention so far. In this work, we investigate the effect of linear and circular polarizations on the volumetric modification and scribing of soda-lime glass using a zero-order Bessel beam in the MHz burst regime. We demonstrate that at a certain burst energy, transverse microcracks align with the linear polarization orientation. Furthermore, we show that the polarization state affects the modified glass separation, processing speed, efficiency, and quality.
The growing demand for flexible, high-quality fabrication of free-form micro-optics drives the development of laser-based fabrication techniques for both the shape formation and surface polishing of optical elements. In this paper, we performed a thorough and systematic study on fused silica glass ablation using 10 ps and 320 fs duration pulses. Ablation processes for both pulse durations were optimized based on the measurements of the removed material layer thickness and surface roughness, and by analyzing the topographies of ablated cavities to remove material layers as thin as possible with minimum surface damage. Our findings demonstrate higher process resolution and surface quality for femtosecond pulses. Ablation of pre-roughened glass reduced the minimal removable glass layer thickness well below the 1 μm mark for both pulse durations, improving the process resolution. The minimal removable glass layer thickness was 14 times smaller for the femtosecond pulses, with up to 4.5 times lower surface roughness compared to samples processed with picosecond pulses. On the other hand, results revealed faster glass removal rates with picosecond pulses. In the end, arrays of microlenses were fabricated with both pulse durations and subsequently polished with a CO2 laser. Results revealed higher performance of microlenses fabricated with femtosecond pulses, providing better focusing capabilities and lesser beam scattering. Finally, this study demonstrated the successful fabrication of free-form optical elements with femtosecond and picosecond pulses, demonstrating the versatility and the potential of laser-based techniques.
Utilisation of high-power ultrafast laser for ablation-based industrial processes such as milling, drilling or cutting requires high production rates and superior quality. In this paper, we demonstrate highly efficient, rapid and high-quality laser micro-machining of three industrial metals (aluminium, copper, and stainless steel). Our proposed optimisation methods of pulse energy division in time result in simultaneous enhancement of ablation efficiency (volume per energy) and ablation rate (volume per time) while maintaining a focused laser beam on the target surface and high resolution. A high-tech femtosecond burst laser, producing laser pulses of τ = 350 fs duration and intra-burst repetition rates of fP = 50 MHz, was employed in the experiments. Due to the utilisation of bursts, material removal efficiency and removal rate were increased by 18.0 %, 44.5 %, and 37.0 % for aluminium, copper, and stainless steel if compared with the best performance of single-pulses. In addition to the high processing rate, processing by burst mode resulted in lower surface roughness. This technique is believed to be a solution enabling extremely high femtosecond laser powers for precise microfabrication.
Laser polishing offers numerous advantages, one of which is the convenience of using the same system for the
whole manufacturing process. In this work, an ultrashort pulse laser operating in a GHz burst regime was used to polish
stainless steel. The aim was to minimise surface roughness, characterised by the average roughness parameter Ra. Different
laser processing parameters (average laser power, number of pulses per burst, scanning speed, hatch size) were varied to polish
samples that were covered in laser-induced periodic surface structures (LIPSS). Thermal effects, such as melt layer formation,
were noticed and discussed. It was demonstrated that LIPSS can be erased and the initial surface roughness of 73 nm was
reduced to 41 nm using 100 pulses per burst and burst fluence of FB = 0.15 J/cm2.
The cutting quality and strength of strips cut with femtosecond-duration pulses were investigated for different thicknesses of borosilicate glass plates. The laser pulse duration was 350 fs, and cutting was performed in two environments: ambient air and water. When cutting in water, a thin flowing layer of water was formed at the front surface of the glass plate by spraying water mist next to a laser ablation zone. The energy of pulses greatly exceeded the critical self-focusing threshold in water, creating conditions favorable for laser beam filament formation. Laser cutting parameters were individually optimized for different glass thicknesses (110 – 550 µm). The results revealed that laser cutting of borosilicate glass in water is favorable for thicker glass (300 – 550 µm) thanks to higher cutting quality, higher effective cutting speed, and characteristic strength. On the other hand, cutting ultrathin glass plates (110 µm thickness) demonstrated almost identical performance and cutting quality results in both environments. In this paper, we studied cut-edge defect widths, cut-sidewall roughness, cutting throughput, characteristic strength, and band-like damage formed at the back surface of laser-cut glass strips.
Water-assisted ultrashort laser pulse processing of semiconductor materials is a promising technique to diminish heat accumulation and improve process quality. In this study, we investigate femtosecond laser ablation of deep trenches in GaAs, an important optoelectronic material, using water and ambient air environments at different laser processing regimes. We perform a comprehensive analysis of ablated trenches, including surface morphological analysis, atomic-resolution transmission electron microscopy imaging, elemental mapping, photoluminescence, and Raman spectroscopy. The findings demonstrate that GaAs ablation efficiency is enhanced in a water environment while heat-accumulation-related damage is reduced. Raman spectroscopy reveals a decrease in the broad feature associated with amorphous GaAs surface layers during water-assisted laser processing, suggesting that a higher material quality in deep trenches can be achieved using a water environment.
The laser synthesis and processing of colloids represents a group of scalable and “green” synthesis methods of crystalline metal oxides, that have recently made encouraging progresses in preparing amorphous as well as defect-rich nanoparticles. The relevant conditions and mechanisms that allow the design of amorphous metal oxides (AMOs) remain unknown. Consequently, in this work the synthesis of Fe-based partially amorphous oxide nanoparticles (NPs) by pulsed laser ablation in water was studied. Furthermore, both laser pulse duration and the number of laser pulse in pulsed laser fragmentation in liquid (LFL) allow a precise control of amorphization of AMOs in water. Hereby, a high-fluence nanosecond-LFL provides a significantly higher amorphization rate, whereas picosecond-LFL always presents minor fractions of crystalline α-Fe even with a higher specific energy input and laser intensity. Consequently, the laser fluence required for the repeated melting and quenching of NP appears to be the decisive parameter to control amorphization. During laser synthesis and processing of colloids, the amorphization of AMOs appears to be linked to the apparent size reduction effect, while a complete full amorphization of AMOs may be attributed to the stronger oxidation effects. This work will stimulate future studies using laser-generated AMO NPs for further functional purposes.
A new versatile patent-pending technology enabling new operation regimes and a unique set of features in the industrialgrade 30 W-level average power femtosecond hybrid laser is introduced in this work. The developed technology, based on the use of an all-in-fiber active fiber loop (AFL), enabled to form GHz bursts of ultrashort laser pulses with any desired pulse repetition rate and any number of pulses in a burst with identical intra-burst pulse separation. Furthermore, the AFL allowed to tune pulse duration from a few hundred femtoseconds to picoseconds and even up to the nanosecond range.